Recently, a research team led by Prof. ZHANG Jinglei from Hefei Institutes of Physical Science, Chinese Academy of Sciences, found that the trilayer nickelate La4Ni3O10-δ exhibits a nearly isotropic upper critical field under high pressure. This finding provides important experimental insight into the superconducting mechanism of nickel-based materials.
The study was published in Physical Review X.
Since the discovery of superconductivity with a transition temperature (Tc) approaching 80 K under high pressure in the bilayer Ruddlesden–Popper (RP) nickelate La3Ni2O7-δ, bulk superconductivity (Tc≈20 K) has also been verified in single crystals of the trilayer isostructural compound La4Ni3O10-δ under pressure. However, probing their properties remains technically demanding, as experiments must simultaneously achieve ultra-high pressure, strong magnetic fields, and cryogenic temperatures.
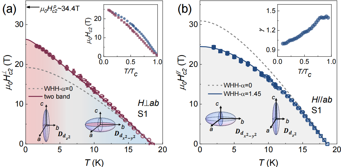
In this study, the team used the water-cooled magnet WM5 at the Steady High Magnetic Field Facility and developed a new measurement system which enables direct measurements of electrical resistivity in single crystal La4Ni3O10-δ under combined extreme conditions of high pressure, strong magnetic fields, and low temperatures along both out-of-plane and in-plane directions. This setup allowed them to map the full-temperature behavior of the upper critical field in different magnetic field directions and systematically examine its anisotropy. They found that, unlike most layered superconductors, which typically show strong directional dependence, this nickelate exhibits nearly isotropic behavior across the entire temperature range, an unusual feature for a strongly layered material.
Further analysis suggests that this behavior arises from the combined effect of two types of electronic states. These states contribute differently to electrical transport but in opposite ways. In particular, the two bands show opposite anisotropy in carrier diffusivity, which effectively compensates for each other. As a result, their contributions balance out, leading to an overall nearly isotropic superconducting response.
This work establishes an experimental approach for studying quantum materials under combined extreme conditions, opening new avenues for future research.

Phase diagram of the superconducting upper critical field of trilayer nickelate La4Ni3O10-δ along two orientations under high magnetic field (Image by BIAN Yaolong)

Photograph of the angle-resolved rod and schematic diagram of the DAC pressure cell (Image by BIAN Yaolong)